Promoción Electoral

El Consejo Nacional Electoral, en cumplimiento de lo que establece el Art. 115 de la Constitución de la República del Ecuador, y el Art. 202 de la Ley Orgánica Electoral y de las Organizaciones Políticas de la República del Ecuador, Código de la Democracia; con la finalidad de proporcionar las condiciones adecuadas para que la Promoción Electoral cumpla con los principios constitucionales y legales de equidad e igualdad entre los sujetos políticos y los medios de comunicación legalmente calificados para el proceso de elecciones 2014.
Convoca

A los medios de comunicación en general (prensa, escrita, radio, televisión, y publicidad vial-vallas fijas y móviles), públicos, privados o comunitarios; con cobertura nacional, regional y local, a registrarse y calificarse como Proveedores de la Promoción Electoral para las elecciones 2014. Los interesados presentarán los siguientes requisitos en formato digital y físico:

  1. Original o Copia certificada ante notario público del Registro Único de Proveedores del Estado actualizado;
  2. Original o Copia certificada ante notario público del Registro Único de Contribuyentes actualizado;
  3. Original o Copia certificada ante notario público del nombramiento del representante legal del proveedor debidamente inscrito en el Registro Mercantil o ante el órgano competente;
  4. Copia a color de la cédula de ciudadanía y certificado de votación o de pago de la multa del representante legal del proveedor;
  5. Tarifas de publicidad ofertadas por el proveedor correspondiente, las mismas que corresponderán a una vigencia referencial a los meses de junio, julio y agosto de 2013.
  6. Certificación actualizada emitida por la Secretaría Nacional de Telecomunicaciones, SENATEL, para medios de radio y televisión, que establezca: Derecho de uso de frecuencia, área de operación y, que no mantenga deuda pendiente por el uso y explotación del servicio autorizado;
  7. Certificado de pago de patente actualizada o permiso de funcionamiento para el caso de los proveedores considerados como prensa escrita; y
  8. Permisos que emita la autoridad competente para la colocación de publicidad en las ubicaciones ofertadas, de acuerdo con las especificaciones que pida cada localidad, para el caso de vallas publicitarias; y, en el caso de vallas ubicadas en carreteras, la autorización respectiva por parte del Ministerio de Transporte y Obras Públicas.

La inscripción y calificación se realizará desde el 07 de octubre hasta el 05 de diciembre de 2013, a través del registro disponible en la página web del Consejo Nacional Electoral www.cne.gob.ec y la presentación física de los documentos se efectuará en las oficinas de Consejo Nacional Electoral y en las Delegaciones Provinciales en todo el país, en horario de 08H30 a 16H00.

Para mayor información y contacto con la Dirección Nacional de Promoción Electoral comunicarse al teléfono (02) 3825410 extensiones 321, 323, 325, 326, 327, 328.

pngDescargar documento

Sistema de Promoción electoral 2014

REGISTRO DE MEDIOS DE COMUNICACION

ico

Manual de Usuario

 Medio de Comunicación

icon-pdf

Responsable de Manejo Económico (RME)

icon-pdf

Normativa

Reglamento promoción 2013 icon-pdf 

Veeduría Ciudadana

 Listado de Medios de Comunicación Registrados

ico 

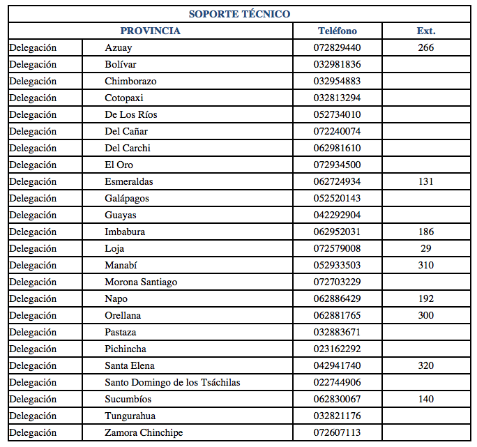
Soporte Técnico

Matriz CNE: 023 815 410 EXT: 321 – 328 Descargar el listado, a nivel nacional

 icon-pdf